티스토리 뷰
- 인터넷은 웹의 핵심적인 기술이다.
- 인터넷은 컴퓨터를 서로 연결하여 TCP/IP라는 통신 프로토콜을 이용해 정보를 주고받는 컴퓨터 네트워크이다.
- 인터넷 변화 양상
- 컴퓨터 ↔ 컴퓨터
- 컴퓨터 ↔ 라우터 ↔ 컴퓨터
- 컴퓨터 ↔ 라우터 ↔ 라우터 ↔ 컴퓨터
- 컴퓨터 ↔ 라우터 ↔ 모뎀 ↔ 전화 시설 ~
- 컴퓨터 ↔ 라우터 ↔ 모뎀 ↔ 전화 시설 ↔ ISP (↔ ISP) ↔ 전화 시설 ↔ 모뎀 ↔ 라우터 ↔ 컴퓨터
인터넷 변화 양상
1 : 1 연결
- 컴퓨터 ↔ 컴퓨터
- 유선(이더넷 케이블), 무선(wifi, bluetooth)으로 연결

다 : 다 연결
- 컴퓨터 ↔ 컴퓨터 ↔ 컴퓨터 ↔ 컴퓨터 ↔ 컴퓨터 ↔ 컴퓨터
- 1 : 1 연결에서 같이 다 : 다 연결을 하게 된다면?

굉장히 많은 이더넷 케이블을 필요로 한다.
🤔 그렇다면 어떻게 해결해야 할까?
- 정답은 라우터
- 컴퓨터 ↔ 라우터 ↔ 컴퓨터
- 라우터는 단 하나의 작업만 있다.
- 주어진 컴퓨터에서 보낸 메시지가 올바른 대상 컴퓨터에 도착하는지 확인하는 것이다.
- 컴퓨터 B에게 메시지를 보내려면 컴퓨터 A가 메시지를 라우터로 보내야하며, 라우터는 메시지를 컴퓨터 B로 전달하고 메시지가 컴퓨터 C로 전달되지 않도록 해야 한다.

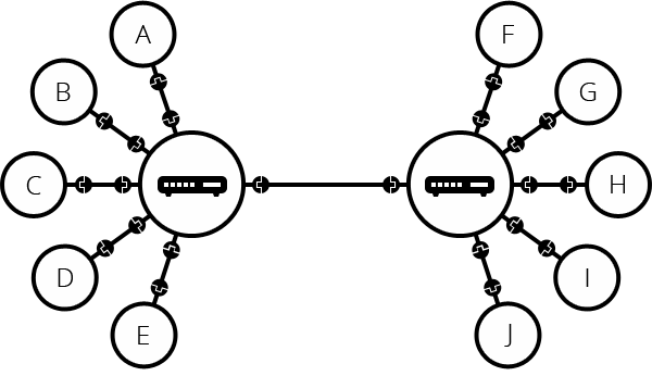
네트워크 속의 네트워크
🤔 그렇다면 수 백, 수 천, 수 십억 대의 컴퓨터를 연결하려면?
- 두 대 이상의 라우터도 연결이 가능하다.
- 컴퓨터 ↔ 라우터 ↔ 라우터 ↔ 컴퓨터

🤔 하지만 집과 다른 지역 사이에, 아주 먼 곳에 케이블을 연결할 수는 없는데?
- 모뎀을 이용하여 전세계 전화 시설에 네트워크 정보를 처리하도록 한다.
- 컴퓨터 ↔ 라우터 ↔ 모뎀 ↔ 전화 시설 ~
우리의 네트워크에서 도달하려는 네트워크로 메시지를 보내야해!
- 그렇게하기 위해 네트워크를 인터넷 서비스 제공 업체 (Internet Service Provider, ISP)에 연결
- ISP는 모두 함께 연결되는 몇몇 특수한 라우터를 관리하고 다른 ISP의 라우터에도 액세스 가능
- 따라서 우리 네트워크의 메시지는 ISP 네트워크의 네트워크를 통해 대상 네트워크로 전달된다.
- 인터넷은 이러한 전체 네트워크 인프라로 구성된다.

컴퓨터 찾기
- 컴퓨터에 메시지를 보내려면 메시지를 받을 특정 컴퓨터를 지정해야한다.
- 따라서 네트워크에 연결된 모든 컴퓨터에는 IP 주소가 있다.
- 주소는 점으로 구분 된 네 개의 숫자로 구성된다. 예: 192.168.2.10
출처
인터넷은 어떻게 동작하는가?
인터넷은 웹의 핵심적인 기술입니다. 인터넷의 가장 기본적인 것은, 컴퓨터들이 서로 통신 가능한 거대한 네트워크라는 것입니다.
developer.mozilla.org
'Computer Science > 네트워크' 카테고리의 다른 글
| TCP와 UDP의 차이점 (0) | 2022.12.26 |
|---|---|
| 호스팅은 무엇인가? (0) | 2020.10.04 |
| 도메인 네임이란? (0) | 2020.10.04 |
| HTTP 프로토콜이란 ? (0) | 2020.10.04 |
| DNS와 작동 원리 (0) | 2020.10.03 |
공지사항
최근에 올라온 글
최근에 달린 댓글
- Total
- Today
- Yesterday
링크
TAG
- 클린 코드
- node.js
- Olympiad
- Kotlin
- BOJ
- 객체지향
- BAEKJOON
- C++
- 테라폼
- 클린 아키텍처
- 이팩티브 자바
- 백준
- JPA
- 디자인패턴
- programmers
- 이펙티브 자바
- Spring Boot
- Java
- 정규표현식
- kkoon9
- kotest
- Algorithm
- Spring
- MSA
- Effective Java
- 코테
- AWS
- 프로그래머스
- 디자인 패턴
- 알고리즘
| 일 | 월 | 화 | 수 | 목 | 금 | 토 |
|---|---|---|---|---|---|---|
| 1 | 2 | 3 | ||||
| 4 | 5 | 6 | 7 | 8 | 9 | 10 |
| 11 | 12 | 13 | 14 | 15 | 16 | 17 |
| 18 | 19 | 20 | 21 | 22 | 23 | 24 |
| 25 | 26 | 27 | 28 | 29 | 30 | 31 |
글 보관함
