티스토리 뷰
문제
이진 트리를 입력받아 전위 순회(preorder traversal), 중위 순회(inorder traversal), 후위 순회(postorder traversal)한 결과를 출력하는 프로그램을 작성하시오.

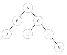
예를 들어 위와 같은 이진 트리가 입력되면,
- 전위 순회한 결과 : ABDCEFG // (루트) (왼쪽 자식) (오른쪽 자식)
- 중위 순회한 결과 : DBAECFG // (왼쪽 자식) (루트) (오른쪽 자식)
- 후위 순회한 결과 : DBEGFCA // (왼쪽 자식) (오른쪽 자식) (루트)
가 된다.
입력
첫째 줄에는 이진 트리의 노드의 개수 N(1 ≤ N ≤ 26)이 주어진다. 둘째 줄부터 N개의 줄에 걸쳐 각 노드와 그의 왼쪽 자식 노드, 오른쪽 자식 노드가 주어진다. 노드의 이름은 A부터 차례대로 알파벳 대문자로 매겨지며, 항상 A가 루트 노드가 된다. 자식 노드가 없는 경우에는 .으로 표현한다.
출력
첫째 줄에 전위 순회, 둘째 줄에 중위 순회, 셋째 줄에 후위 순회한 결과를 출력한다. 각 줄에 N개의 알파벳을 공백 없이 출력하면 된다.
import java.util.*;
import java.io.*;
public class Main {
static Map<String, Node> map;
public static void main(String[] args) throws IOException {
BufferedReader br = new BufferedReader(new InputStreamReader(System.in));
StringTokenizer st = new StringTokenizer(br.readLine());
int N = Integer.valueOf(st.nextToken());
map = new HashMap<>();
for(int i = 0 ;i<N;i++) {
st = new StringTokenizer(br.readLine());
String root = st.nextToken();
String left = st.nextToken();
String right = st.nextToken();
map.put(root, new Node(root, left, right));
}
printPreOrder(map.get("A"));
System.out.println();
printInOrder(map.get("A"));
System.out.println();
printPostOrder(map.get("A"));
}
private static void printPreOrder(Node node) {
System.out.print(node.root);
if (!node.left.equals(".")) {
printPreOrder(map.get(node.left));
}
if (!node.right.equals(".")) {
printPreOrder(map.get(node.right));
}
}
private static void printInOrder(Node node) {
if (!node.left.equals(".")) {
printInOrder(map.get(node.left));
}
System.out.print(node.root);
if (!node.right.equals(".")) {
printInOrder(map.get(node.right));
}
}
private static void printPostOrder(Node node) {
if (!node.left.equals(".")) {
printPostOrder(map.get(node.left));
}
if (!node.right.equals(".")) {
printPostOrder(map.get(node.right));
}
System.out.print(node.root);
}
static class Node {
String root;
String left;
String right;
Node(String root, String left, String right) {
this.root = root;
this.left = left;
this.right = right;
}
}
}
'알고리즘' 카테고리의 다른 글
| BOJ1715 카드 정렬하기 java (0) | 2022.01.21 |
|---|---|
| BOJ1927 최소 힙 java (0) | 2022.01.21 |
| BOJ2250 트리의 높이와 너비 java (0) | 2022.01.19 |
| BOJ1939 중량제한 java (0) | 2022.01.17 |
| BOJ2110 공유기 설치 java (0) | 2022.01.16 |
공지사항
최근에 올라온 글
최근에 달린 댓글
- Total
- Today
- Yesterday
링크
TAG
- kotest
- 알고리즘
- Spring Boot
- BAEKJOON
- 정규표현식
- Olympiad
- node.js
- Kotlin
- Effective Java
- 백준
- 이팩티브 자바
- 클린 코드
- AWS
- kkoon9
- C++
- 디자인패턴
- 클린 아키텍처
- 코테
- Java
- JPA
- 객체지향
- BOJ
- 이펙티브 자바
- Spring
- Algorithm
- programmers
- MSA
- 프로그래머스
- 테라폼
- 디자인 패턴
| 일 | 월 | 화 | 수 | 목 | 금 | 토 |
|---|---|---|---|---|---|---|
| 1 | 2 | 3 | 4 | 5 | 6 | 7 |
| 8 | 9 | 10 | 11 | 12 | 13 | 14 |
| 15 | 16 | 17 | 18 | 19 | 20 | 21 |
| 22 | 23 | 24 | 25 | 26 | 27 | 28 |
글 보관함